December 18, 2023 at 4:14 pm | Updated December 18, 2023 at 4:14 pm | 9 min read
- Research focuses on arbuscular mycorrhizal fungi (AMF) use to alleviate climate change-driven abiotic stresses like drought and salinity.
- Efforts are also made to understand the factors that control AMF diversity and abundance, given the importance of mycorrhizae for natural and cultivated areas.
- Studies also investigate the effect of agricultural practices on AMF composition and diversity and its use as biological disease control for better field management.
Arbuscular mycorrhizal fungi have symbiotic associations with 70-90 percent of plant species and are vital for nutrient biogeochemical cycling, primary production, and below and above-ground biodiversity. Mycorrhizae receive carbon from the plant roots and, in exchange, facilitate nutrient and water uptake, alleviate abiotic and biotic stress, and, ultimately, ecosystem function. Given their crucial role in agriculture and natural ecosystems, AMF are becoming a research focus. This article discusses five significant mycorrhizal fungi research findings in 2023.
AMF Improves Flax Growth and Yield

Figure 1: “Effects of arbuscular mycorrhizal fungi (AMF) inoculation on root morphology of flax at different salinity (0, 50, 100, and 150 mM NaCl) levels at 90 days after sowing (DAS). AMF+: with AM inoculum; AMF−: without inoculation,” Kakabouki et al. 2023. (Image credits: https://doi.org/10.3390/agronomy13092416)
Subscribe to receive our monthly round-up of articles.
Flax (Linum usitatissimum L.) is a versatile plant, and its fibers are used in industries to make fabric, ropes, and even banknotes. Its seeds yielding oil are rich in nutrients, making them a nutritious source for humans and animals.
Problem
Though it originated in the Mediterranean and southwestern Asia, its adaptability allows cultivation in various climates worldwide. Salinity, a common environmental stress in arid and semi-arid regions, affects plant growth because sodium chloride (NaCl) reduces water availability and nutrient uptake, photosynthesis, cell growth, and metabolism and causes ion toxicity.
Experiment
Kakabouki et al. 2023, investigated arbuscular mycorrhizal fungi (AMF) ability to enhance the flax growth and yield under four salinity levels (0, 50, 100, and 150 mM NaCl) in a pot experiment. One set of flax was inoculated with AMF, and the other was the control.
The results showed salt stress reduced flax photosynthesis, shoots, and roots nitrogen (N) and phosphorus (P) in the control plants.
AMF produced the most root and shoot biomass at no salinity conditions and the least at high salinity, see Figure 1. However, their effect on plants was still significant. Salinity reduced plant height, but AMF plants were taller and showed more growth, development, and tolerance to salinity.
AMF association helped in salt tolerance by increasing chlorophyll and shoot and root N and P content at moderate salinity levels (50 and 100 mM NaCl). AMF effects were most noticeable at 100 mM. It increased chlorophyll content by 30.4%, N shoot and root content by 36.1% and 31.0%, and P shoot and root content by 38.9% and 45.4%, respectively.
AMF plants had more leaf area, which directly increased yield. Seed and stem fiber yield at 100 mM were higher by 35.2% and 26.9%, respectively, than in plants without AMF.
Significance
Climate change drives salinization, so finding ways to increase plant salinity tolerance is essential. Since AMF is widely associated with 70-90% of plants, including cultivated species, this study supports existing knowledge that AMF can help plants tolerate salt stress by increasing biomass and diluting salinity and can be applied in saline regions.
Metabolomics explains AMF aid in Drought Tolerance in Walnut
Walnut (Juglans regia L.) is a major nut crop with ω-3 fatty acids. It is widely grown in South America, North America, Europe, Asia, including China.
Problem
Abiotic stresses are responsible for 50% of crop losses, and soil drought alone reduces 10% of yield. Soil drought is becoming more pronounced in arid regions. It is well known that AMF can increase the drought tolerance of plants, including walnuts. Earlier studies showed that AMF exists in the walnut rhizosphere, but the underlying mechanism was unknown.

Figure 2: “Changes in plant growth performance (a), root mycorrhizal colonization (b), root mycorrhizal colonization rate (c), and shoot (d) and root (e) biomass production of Juglans regia inoculated with Diversispora spurca under well-watered and drought stress conditions. Abbreviations: DS_AMF, the treatment with drought stress and D. spurca inoculation; DS_NAMF, the treatment with drought stress and non-inoculation of D. spurca; WW_AMF, the treatment with D. spurca inoculation and well-watered; WW_NAMF, the treatment with well-watered and non-inoculation of D. spurca,” Zou et al. 2023. (Image credits: https://doi.org/10.1186/s12870-023-04111-3)
Experiment
Zou et al. 2023, applied metabolomics to explain the mechanisms behind AMF-supported plant response to drought by analyzing changes in small molecular weight (less than 1000) of metabolites such as sugars, amino acids, lipids, and nucleotides. The scientists analyzed changes in root metabolites in walnuts in AMF Diversispora spurca inoculated plants under well-watered and drought-stress conditions.
Soil drought for 60 days inhibits AMF colonization rate, leaf water potential, and shoot and root biomass production. However, AMF inoculation does help walnuts, and more so during soil drought than in well-watered conditions, see Figure 2.
The scientists identified 3278 metabolites. In watered conditions, AMF up-regulated the production of 172 metabolites and down-regulated the levels of 61 metabolites, with no changes in 1104 metabolites. Under soil drought, AMF produced no changes in 1172, up-regulated 49, and down-regulated 116 metabolites.
AMF significantly increased levels of 2,3,5-trihydroxy-5–7-dimethoxyflavanone under drought but not well-watered conditions. This flavonoid is an antioxidant that alleviates oxidative damage triggered by drought stress in plants. AMF walnuts produced more N-Acetyl-L-phenylalanine (2.34-fold), known to increase flavonoid levels, than in watered conditions (0.68-fold).
The AMF also results in oxidative phosphorylation in roots that decompose sugars, amino acids, and fats to produce more ATP or energy that helps tolerate stress.
AMF walnuts also had 2.15 times more mannitol in the roots, which helps in osmotic adjustment.
Significance
The study provides new insights into the production of secondary metabolites in a complex response by AMF-aided drought tolerance in walnuts. The scientists also recommend D. spurca inoculation for walnut cultivation, especially at the seedling stage.
Global Distribution of AMF

Figure 3: “Global distribution of study sites from which data were collected in this analysis. Global distribution of data points of arbuscular mycorrhizal fungi (AMF) richness (a), Shannon index (b), total colonization rate (c) and spore abundance (d),” Ma et al. 2023. (Image credits: https://doi.org/10.1111/geb.13704).
Many abiotic and biotic factors can affect AMF diversity and abundance, including soil nutrients and properties, climate, plant community, and plant species richness.
Problem
Despite the ubiquitous nature of AMF and its versatile role in agriculture, the relative contributions of each factor are unclear, with conflicting data available worldwide. Most studies are at local levels, but AMF determinants can also have global patterns.
Experiment
Therefore, Ma et al. used 654 field studies to find the AMF global diversity and abundance, distribution patterns, and predictors of these patterns. The studies ranged over a long time, starting from 1987 to 2022, see Figure 3.
The study produced the following insights:
- AMF diversity is lower in cold climate zones.
- Grasslands at the ecosystem level have higher AMF diversity and abundance.
- The best AMF diversity predictors are latitude and soil available phosphorus.
- AMF richness and Shannon Index decreased with increasing latitude and soil phosphorus.
- Factors explaining AMF global abundance are soil available phosphorus and pH.
- AMF spore abundance and colonization rate decreased as soil available phosphorus rose. Spore abundance was increased with rising soil pH and mean annual precipitation.
Significance
Soil-available phosphorus drives the global distribution of AMF diversity and abundance. The research findings are crucial to understanding AMF and its role in ecosystem functioning.
AMF for Biological Control of Fungal Diseases in Strawberries
Table 1. “Effect of AMF applications on Rhizoctonia fragariae, Fusarium oxysporum, and Alternaria alternata; PC: positive control, Gm: Gigaspora margarita, Fm: Funneliformis mosseae,” Demir et al. 2023. (Credits: https://www.mdpi.com/2073-4395/13/9/2439)

Strawberry hybrid Fragaria × ananassa is cultivated for its fruit characteristics and health benefits.
Problem
One main factor affecting strawberry yield is diseases, of which black root rot is widespread. Several fungi are responsible for the black root rot, of which Fusarium oxysporum, Rhizoctonia fragariae, and Alternaria alternata are the prominent pathogens. They act individually or in combination and grow and block the vascular tissues in roots, preventing water and nutrient uptake, causing root blackening and death, and loss in productivity.
Experiment
Instead of using chemicals, people nowadays want biological control. Demir et al 2023, tried AMF applications and tested their effect on controlling pathogens. The growing medium was inoculated in a pot experiment with a mixture of AMF species, Funneliformis mosseae FMYYU1, and Gigaspora margarita GMYYU2. The pathogens were added to the soil five days after planting the seedlings.
Research findings showed that the effects of the two species of AMF in reducing disease severity and boosting plant growth depended on the pathogen species, see Table 1.
Pathogen R. fragariae produced the most disease severity, followed by F. xysporum and A. alternata.
In control plants, AMF species increased phosphorus uptake, total phenolic content, and antioxidant activity. However, the effect of the two AMF species was not the same. Funneliformis mosseae has a more beneficial impact on plant biochemical parameters than Gigaspora margarita. However, the latter was more successful in promoting phosphorus uptake in A alternata-infected plants. The combination of the two AMF species produced the best enhancement of phosphorus in plants.
Depending on the pathogen species, the AMF species also had different results on the plant growth, fresh weight, and dry weight.
AMF root colonization was similar for both species, but spore density varied depending on pathogens.
Significance
AMF can improve strawberry growth even when attacked by pathogens. Therefore, it can be used as a biological treatment against black root rot. However, benefits for strawberries depend on the pathogen species and AMF used.
Cover Crops Changes AMF Effects in Irrigated Fields

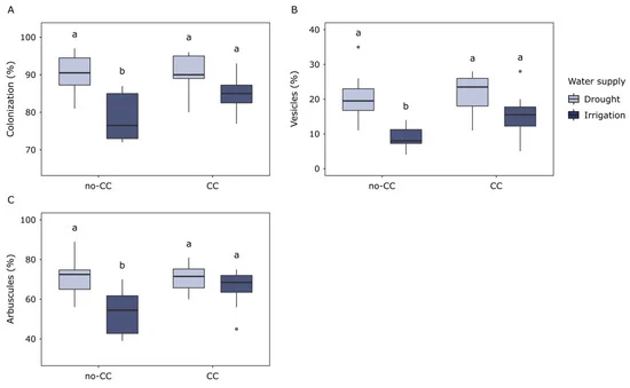
Figure 4: “Arbuscular mycorrhizal fungi (AMF) colonization of corn roots in response to cover crops (no-CC: no cover crop; CC: 4-species cover crop) and water supply (drought; irrigation). Data for hyphae colonization (A), vesicles (B), and arbuscules (C) are shown,” Tosi et al. 2023. (Image credits: https://www.mdpi.com/2223-7747/12/5/1015)
Cover crops, especially diverse mixtures, are shown to improve water availability for cash crops, reduce erosion, and benefit the environment. Cover crops also influence AMF communities, impacting subsequent cash crop growth.
Problem
However, the effects of cover crops on AMF biomass may be transient, and the interaction between cover crops, water availability, and AMF is complex and poorly studied. On the other hand, agricultural practices that change soil conditions shift AMF species composition and can have varying benefits for enhancing drought tolerance in crops. Only a limited number of field studies explore the response of AMF to agricultural practices.
Experiment
In this study, Tosi et al. 2023 used high-throughput sequencing in a corn field trial to examine AMF response to a combination of four species of winter cover crops, compared to a control with no cover crops, under two water supply levels -drought and irrigated. The scientists studied corn root colonization by AMF with Illumina MiSeq sequencing. They also examined AMF composition and diversity at two depths, 0–10 cm and 10–20 cm.
AMF colonization of corn was high, around 61–97%, and the agricultural practice of growing cover crops had no effect. No increase in AMF colonization was seen. However, crop cover did modulate the impact of water supply. Irrigation reduced colonization, detected by the percentage of arbuscules and vesicles, but only in non-cover crop fields, see Figure 4.
The 249 amplicon sequence variants (ASVs) found indicated that soil AMF communities belonged to 5 genera and 33 virtual taxa. Glomus was the dominant genera, followed by Claroideoglomus and Diversispora, also belonging to Glomeromycetes. The two classes were Paraglomeromycetes and Archaeosporomycetes.
AMF communities were more sensitive than AMF colonization, to cover crops. Under cover crops and in drought, the AMF diversity and abundance were more even, probably due to the use of four species of cover. Non-cover crop fields had fewer AMF species and were dominated by Paraglomus sp.
Individual AMF species abundance varied due to strong interacting effects of cover crops, irrigation, and soil depth, though cover crop effects were more robust than irrigation.
Significance
The study shows that cover crops affect soil AMF community structure and change their response to water levels.
Analyzing Underground Mycorrhizae
The mycorrhizal growth and effects on roots underground need special tools for observation and data collection. Image scans combined with minirhizotrons have become a standard method to collect these elusive data without destroying the roots or disturbing soil mycorrhizal communities. The CID Bioscience offers two portable scanners, the CI-600 In-Situ Root Imager, and the CI-602 Narrow Gauge Root Imager, that can measure root and mycelial growth, root turnover and death, and root pathogens and would have been a valuable tool for studies similar to those discussed in the article. Scientists trust these tools and have been featured in several published studies to advance plant and crop research.
Sources
- Kakabouki, I., Stavropoulos, P., Roussis, I., Mavroeidis, A., & Bilalis, D. (2023). Contribution of Arbuscular Mycorrhizal Fungi (AMF) in Improving the Growth and Yield Performances of Flax (Linum usitatissimum L.) to Salinity Stress. Agronomy, 13(9), 2416.
- Zou, Y. N., Qin, Q. Y., Ma, W. Y., Zhou, L. J., Wu, Q. S., Xu, Y. J., … & Abd-Allah, E. F. (2023). Metabolomics reveals arbuscular mycorrhizal fungi-mediated tolerance of walnut to soil drought. BMC Plant Biology, 23(1), 1-14.
- Ma, X., Xu, X., Geng, Q., Luo, Y., Ju, C., Li, Q., & Zhou, Y. (2023). Global arbuscular mycorrhizal fungal diversity and abundance decreases with soil available phosphorus. Global Ecology and Biogeography, 32(8), 1423-1434.
- Demir, S., Durak, E. D., Güneş, H., Boyno, G., Mulet, J. M., Rezaee Danesh, Y., & Porcel, R. (2023). Biological control of three fungal diseases in strawberry (Fragaria× ananassa) with arbuscular mycorrhizal fungi. Agronomy, 13(9), 2439.
- Tosi, M., Ogilvie, C. M., Spagnoletti, F. N., Fournier, S., Martin, R. C., & Dunfield, K. E. (2023). Cover Crops Modulate the Response of Arbuscular Mycorrhizal Fungi to Water Supply: A Field Study in Corn. Plants, 12(5), 1015.
Related Products
Most Popular Articles
- Transpiration in Plants: Its Importance and Applications
- Leaf Area – How & Why Measuring Leaf Area…
- How to Analyze Photosynthesis in Plants: Methods and Tools
- Plant Respiration: Its Importance and Applications
- The Forest Canopy: Structure, Roles & Measurement
- Stomatal Conductance: Functions, Measurement, and…
- Forest & Plant Canopy Analysis – Tools…
- Root Respiration: Importance and Applications
- The Importance of Leaf Area Index (LAI) in…
- 50 Best Universities for Plant Science