June 24, 2024 at 5:16 pm | Updated June 24, 2024 at 5:16 pm | 5 min read
- Yes, but with caveats.
- Leaf traits are used to understand plant growth, functional diversity, and ecosystem processes.
- Several traits spanning functional groups and geographies can be easily predicted using general models based on spectral data.
- However, all models cannot have global applications without validation, as the relationship between traits and spectral data is not the same across ecosystems, plant functional groups, or even within a species.
Leaf Functional Traits
Scientists use functional leaf traits to understand and quantify plants’ responses to the environment. Leaves’ biochemical, morphological, and physiological properties can be used as functional traits. Leaf functional traits can improve understanding of various phenomena at various scales:
- Contribution to individual plant growth
- Basis for comparing taxa and plant functional diversity in environmental response between communities
- Describing ecosystem processes, such as carbon and nutrient cycling
The plant functional traits are used in models for prediction in precision agriculture or forest management. For this, scientists must measure them, which can be expensive, time-consuming, and challenging using conventional measurement methods. An alternative reliable method is spectroscopy.
Spectroscopy Applications
Spectroscopy is a standard, rapid, precise, and non-destructive method of estimating leaf traits. According to the American Society for Testing and Materials (2020), light wavelengths in the range of 350–2500 nm, which accounts for over 97% of solar radiation, can be used for plant spectroscopy. Plant organs and tissues’ structure and chemistry, which determine the optical interaction (absorption, reflectance, and transmission) with light, are used in spectroscopy at the individual leaf, canopy, or ecosystem scales.
Subscribe to the CID Bio-Science Weekly article series.
By submitting this form, you are consenting to receive marketing emails from: . You can revoke your consent to receive emails at any time by using the SafeUnsubscribe® link, found at the bottom of every email. Emails are serviced by Constant Contact
- Leaf scale: Spectroscopy is widely used to track several leaf functional traits from individual plants, like photosynthesis, leaf area, pigment concentration, etc.
- Canopy scale: Remote sensing uses canopy spectral information to quantify plant processes (rate of photosynthesis) or ecosystem-scale community structures and biochemical cycles.

Figure 1: “The median leaf reflectance at each wavelength across the spectrum, separated by functional group. The dashed line shows the coefficient of variation across all samples,” Kothari et al. 2023. (Image credits: https://nph.onlinelibrary.wiley.com/doi/full/10.1111/nph.18713)
Challenges in Using Spectroscopy for Leaf Traits
Though the spectroscopy technique is valuable and has several advantages over conventional measurement methods, the ability of trait-spectra-based models to provide accurate prediction across ecosystems and functional groups is not unlimited.
A model developed using data from one set of plants will not give accurate predictions due to any of the following reasons:
- The models will be unreliable if the leaf traits’ optical properties differ within species or between species, as is the case. See Figure 1, which shows spectral differences among functional groups.
- Several plant traits covary, and spectra can depend on more than one trait. So, assessing the contribution of a single trait to spectral signatures becomes more challenging to ascertain.
To overcome these problems, global application models must use a wide range of traits and spectra. However, recent findings show that we do not know enough to produce models without further validation. Moreover, there are also challenges in model transfer between instruments.
However, it is not all doom and gloom. Here is what is known about functional trait spectra that can improve their estimation. These concern trait response to the environment across species and the correlation among traits that can be used to create reliable models.
Suitable Leaf Functional Traits
Some leaf traits are easier to predict with spectroscopy than others. Leaf area mass and water content predictions were the most accurate in a 2023 Canadian study by Kothari et al. that tested 22 structural and chemical traits from 103 species in seven functional groups, such as shrubs, graminoids, ferns, forbs, vines, conifers, and broadleaf trees. Next in accuracy were leaf carbon, nitrogen, and pigment content predictions. Micronutrient content was the trait that the tested models couldn’t accurately predict.
Another encouraging finding is that general models can easily predict several traits spanning functional groups and geographies.
Trait–Environment Association
A 2022 study, by Wang et al. of 14 foliar traits in 236 species, 125 genera, and 59 families across 32 sites in the US National Ecological Observatory Network (NEON), showed that traits are usually weakly associated with environmental factors. Also, the correlation is not always positive. Only some traits were strongly associated with response to their environments. In most cases, species-specific trait adaptations to environmental factors can vary widely. So, any generalization about traits across large scales will need context.
In only a few species, traits were associated with environmental factors such as altitude, annual temperature, and precipitation.

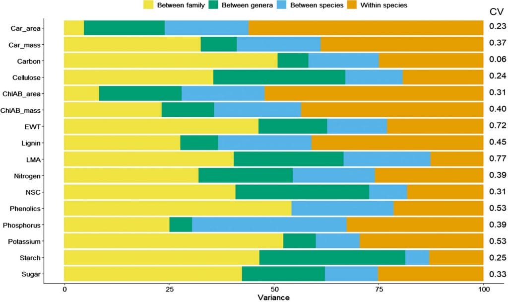
Figure 2: “The trait variation explained by between plant families, between genera within a family, between species within a genus, and within species. Car_area, area-based carotenoids; Car_mass, mass-based carotenoids; ChlAB_area, area-based chlorophyll a + b; ChlAB_mass, mass-based chlorophyll a + b; CV, coefficient of variation; EWT, equivalent water thickness; LMA, leaf mass per area; NSC, nonstructural carbohydrate,” Wang et al. 2022. (Image credits: https://doi.org/10.1111/nph.18204)
Trait-Trait Correlation
Several trait-trait correlations exist for leaf parameters. However, the traits that are strongly correlated or the direction of the correlation will change with species. Leaf traits like leaf area mass, nitrogen, potassium, and phosphorus can show a significant correlation.
At local scales, trait variation within a species can be greater than between species. Figure 2 shows how phylogeny explains trait variation at the family, genus, and species levels.
Trait-Trait Correlation Types
Given the importance of intra-species variations, it is also necessary to know the scales at which traits will vary to use them to predict ecosystem function. The relationships between traits within a species level can be of four types following Umaña & Swenson (2019):
- First type: Bi-traits have a strong correlation with the environment and also at the species level. For example, area-based chlorophyll a + b, carotenoids, or nitrogen with phosphorus.
- Second type: Traits show a weak correlation to the environment but strong positive associations within species. For example, phenolics correlated with leaf area mass, and nitrogen was strong in some species but weak in others.
- Third type: The traits correlate with the environment across species but show variable and weak associations at the species level. For example, the negative correlation between leaf area mass and nitrogen found across species was present only within one species.
- Fourth type: The traits are neither correlated to the environment nor each other but have different drivers. For example, associations of lignin with pigments or cellulose with carotenoids.
Understanding these intra-species variations can improve global models.
Using Leaf Spectroscopy
Studies also indicate that if a trait cannot be estimated by its leaf spectra, it cannot be calculated by canopy spectra for models. Some traits cannot be based on spectroscopy alone. In most other cases, where leaf spectra are reliable, they can replace conventional measurements and validate remotely sensed spectral data to develop robust models for estimating leaf traits. The CI-710s SpectraVue Leaf Spectrometer is an industry-standard field tool scientists use to collect leaf-level spectral information to describe functional characteristics to improve plant ecology modeling.
Sources
Kothari, S., Beauchamp‐Rioux, R., Blanchard, F., Crofts, A. L., Girard, A., Guilbeault‐Mayers, X., … & Laliberté, E. (2023). Predicting leaf traits across functional groups using reflectance spectroscopy. New Phytologist, 238(2), 549-566.
Umaña, M., & Swenson, N. (2019). Does trait variation within broadly distributed species mirror patterns across species. A case study in Puerto Rico, 100, 1-11.
Wang, Z., Townsend, P. A., & Kruger, E. L. (2022). Leaf spectroscopy reveals divergent inter‐and intra‐species foliar trait covariation and trait–environment relationships across NEON domains. New Phytologist, 235(3), 923-938.
Related Products
Most Popular Articles
- Transpiration in Plants: Its Importance and Applications
- Leaf Area – How & Why Measuring Leaf Area…
- How to Analyze Photosynthesis in Plants: Methods and Tools
- Plant Respiration: Its Importance and Applications
- The Forest Canopy: Structure, Roles & Measurement
- Stomatal Conductance: Functions, Measurement, and…
- Forest & Plant Canopy Analysis – Tools…
- Root Respiration: Importance and Applications
- The Importance of Leaf Area Index (LAI) in…
- 50 Best Universities for Plant Science